Bakım fonksiyonunun, işletmelerde yalnızca arızaya müdahale eden bir yapı değil; sürekliliği, verimliliği ve güvenilirliği yöneten stratejik bir disiplin olduğuna dikkat çeken Arçelik Global Bakım Müdürü İlyas E. Altuntop, bu çalışmasında yedek parça yönetimini teknik ve uygulamaya dönük bir bakışla değerlendiriyor.

Yedek parça bulundurmanın gerekliliğinden, hangi parçaların ne miktarda stoklanması gerektiğine; minimum stok seviyelerinden sipariş yöntemlerine kadar uzanan bu kapsamlı analiz, bakım mühendisleri ve yedek parça sistemi kurmayı hedefleyen ekipler için önemli bilgiler taşıyor.
- GİRİŞ
Bakım fonksiyonu bir işletmedeki tüm makine, donanım ve sistemlerin işlevlerini tam olarak ve en yüksek performansla yerine getirebilmeleri ve bu hallerini sürdürebilmeleri için gerçekleştirilen faaliyetlerin bütünüdür. Bakım fonksiyonu altında gerçekleştirilen bu faaliyetler birbirleri ile ilişkili ve ana hedeflere uygun olarak yönetilmelidir. Planlı bakım faaliyetleri, bakım ihtiyacını azaltma faaliyetleri, bakım personeli eğitim faaliyetleri, otonom bakım faaliyetlerine destek, bütçe yönetimi, enerji yönetimi, yedek parça yönetimi gibi konular bakım fonksiyonu altında yönetilen faaliyetlerdendir.
Bu bildiride yedek parça yönetimi ele alınacaktır ve
- Yedek parça bulundurmak gerekli mi?
- Hangi parçalar yedeklenmeli?
- Yedek parça miktarlarının tespiti,
- Minimum yedek miktarı ve sipariş miktarlarının tespiti,
- Yedeklenen parçaların nasıl saklanacağı, nerede stoklanacağı,
- Yedek parça stok maliyetleri,
- Stokların nasıl yönetileceği,
- Yedek parça çeşitliliği azaltma faaliyetleri (Erken Ekipman Yönetimi),
- Yedek parça yerlileştirme çalışmaları
gibi alt konu başlıklarından bahsedilecektir.
Bu bildiri potansiyel bakım mühendislerine ve yedek parça sistemi kuracak olan ekiplere faydalı olacaktır.
2. YEDEK PARÇA BULUNDURMAK GEREKLİ Mİ?
Yedek parça ihtiyacı, arıza ya da makine bakımı sırasında ortaya çıkar. Bu ihtiyaç doğduktan sonra, parçayı ne kadar sürede temin edeceğimiz kritik bir durumdur. İhtiyacımız olan parça yurt içinden temin edilebilen, hatta işletmenin bulunduğu şehirden temin edilebilen bir parçaysa, temini 1 saat kadar sürebilir. Bu süre bir çok işletme için katlanılabilir bir süre olabilir. Ancak bu durumun bir de en kötü halini ele alalım. Örneğin; ihtiyacınız olan parça yurt içinden temin edilemesin ve hatta sipariş üzerine üretilen bir malzeme olsun. Böyle bir durumda parçayı temin etmeniz 4 ila 36 hafta kadar sürebilir. Çalıştığım işletmelerde kullandığımız 360 kW'lık bir DC motorun 6 ayda temin edildiğine tanık olmuştum. Böylesine bir durumda, yedek parça bulundurulmadığı takdirde makine oldukça uzun süre çalışamayacaktır. Bu da hem çalışanlar hem de işletme açısından zor ve verimsiz süreçlere sebep olacaktır. Bunun içindir ki, yedek parça yönetimi önemli bir iştir ve kritik yedek parçaların belirlenip mutlaka önceden temin edilmesi gerekir. Her makine için temin edilecek parçalar farklılık gösterebilir. Örneğin bir otomobil için en riskli ve en önemli parça lastiktir. Otomobilin lastiğinin ne zaman patlayacağını tahmin etmek zor hatta çoğu zaman imkansız olsa da, bagajda yedek lastik bulundurulması önerilir. Çünkü lastik patladığında yolda kalınacağı kesindir ve bu katlanılacak bir durum değildir. Benzer şekilde, üretim yaparken de yolda kalmamak için yedey parça bulundurmak ve bu stoğu yönetmek gerekir.
İkinci önemli bir konu ise gelişen teknoloji sebebiyle ortaya çıkar. Makine üreticileri her sene ürettikleri makinelerde birtakım değişiklikler yaparlar. Tamamen değişmese bile makine üzerindeki birçok aksam değişir ve gelişir. Yeni teknolojiyi kullanan firmalar, eski tip makine parçalarını da üretimden kaldırırlar. Üretimden kalkan parçaların temini mümkün olmadığından, bu parçalar demode olmadan firmaların yedek parça stoklarına dahil edilmeleri gerekir.
Büyük bir işletme düşünüldüğünde, yukarıda bahsedilen sebeplerden ötürü onlarca hatta yüzlerce parçanın yedeklenmesi ve yönetilmesi gereği ortaya çıkar.

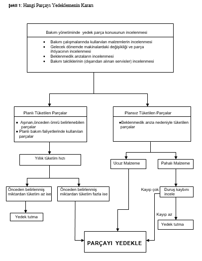
3. HANGİ PARÇALAR NE MİKTARDA YEDEKLENMELİ
İşletme içerisinde çoğu zaman beklenmedik arızalar ile karşılaşılır. Böyle durumlar da hangi parçanın yedeklenip yedeklenmeyeceği sorusunu ortaya çıkartır. Bu sorunun cevabını vermek için birtakım kriterleri göz önüne bulundurmak gerekir.
- Parça Ömrünün Önceden Belirlenebilmesi / Belirlenememesi
Makine üzerindeki bazı parçaların ömürleri yaşanmış tecrübe veya teknik kataloglara göre belirlenebilir. Örnek vermek gerekirse; makine üzerindeki rulmanın ömrü teknik katalogdan çalışma saatine göre belirlenebilir. Bazı parçaların ömürlerini kestirilemeyebilir. Bu tür parçalar genellikle elektronik parçalardır. Bir elektronik kartın ne zaman arıza yapacağı belli olmaz. Sıfır takılsa bile çalışmayabilir. Bundan dolayı bu tür parçalarda ömür kriteri dikkate alınmamalıdır.
- Parçanın Temin Süresinin Ne Kadar Olacağı
Yedek parçanın ne kadar sürede temin edileceği, arızanın giderilmesinde önemli bir kriterdir. Yurt dışından getirilen parçaların temin süresinin çok uzun olduğunu unutmamak gerekir. Eğer makinenin duruşuna neden olabilecek yurt dışı kaynaklı bir parça ise daha önceden mutlaka yedeklenmelidir. Yurt içinden alınan parçaların temini yurt dışına göre daha kısadır. Kısa bir süreliğine parça gelene kadar geçici bir çözümle üretimin devamı sağlanabilir.
- Parçanın Arıza Riski / Sıklığı
Bazı parçaların arızalanma riski çok yüksek olabilir. Bu tür parçalarda periyodik bir ömür vermek doğru olmaz. Örnek vermek gerekirse; elektronik parçaların arızalanma riski diğer parçalara göre daha fazladır. Makinenin duruşuna neden olacağından parçaların adetleri belirlenip yedeklenmelidir.
- Parça Maliyeti Pahalılığı
Parçaların yedeklenmesinde maliyetin de önemli bir rolü vardır. Genelde yurt dışından gelen malzemeler yurt içine göre daha pahalıdır. Özel üretim olan parçaların da maliyeti standart parçalara göre daha yüksektir. Bu tür parçaların riskine göre her durum öngörülmeye çalışılmalıdır. Maliyeti düşük parçaların da duruşlara neden olmaması için yedeklenmesi gerekir. Örnek vermek gerekirse; bir
v- kayışın maliyeti düşük olduğuna göre duruşa neden olmaması için yedeklenmesi gerekir.
- Parçanın İşletme İçindeki Toplam Adeti
İşletme içerisindeki ekipmanlarda aynı türden parçalardan çok miktarda kullanılabilir. Ortak parçaların belirlenmesi yedek parça çeşitliliğine de yardımcı olacaktır. Örneğin; 6210 rulman işletme içerisindeki çok sayıda makinede kullanılıyorsa yedekte olması gerekir.
- Tecrübe
Geçmişte yapılan bakım operasyonlarında yaşanan tecrübeler de parçaların yedeklenmesi konusunda yardımcı olur. Daha önce karşılaşılmış benzer arızalardaki yaklaşım, parçaların ömrünün tayininde yardımcı olacaktır. Örnek vermek gerekirse, dişli parçasının değişimi için daha önceki çalışmalardaki tecrübelere göre zaman periyodu belirlenebilir.
- Makineyi Durdurması
Parçaların bazıları arıza yaptığında makinenin çalışmasına etki etmeyebilir. Bir makine üzerinde düşük basınç altında çalışan bir keçenin yıpranması yağ kaçağına neden olur ancak makineyi durdurmaz. Yağ kaçağını kontrol altına alıp duruşa kadar makine çalıştırabilinir. Bu süreçte keçe temin edilecektir. Bir motorun yanması düşünülürse makineyi direkt durduracaktır. Motorun daha önceden temin edilmiş olması gerekir.
Yukarıda açıklaması yapılan tüm kriterler hangi parçanın ne miktarda yedekleneceği konusunda yardımcı olacaktır.

4. MİNUMUM YEDEK MİKTARI VE SİPARİŞ MİKTARININ TESPİTİ
Yedek parça stok seviyesi tespiti, ekipmanın işletmedeki sayısı, etkinliği, arıza yapma sıklığı gibi kriterler baz alınarak yapılır. Bir parçanın sipariş miktarı yıllık tüketim hızına göre belirlenir. Yıl içerisindeki tüketim ortalaması alınarak sayı belirlenir ve sipariş açılır. Çalıştığım işletmede bir yıl içinde çok sayıda kare switch bakım faliyetlerinde kullanılmakdadır. Tüketim çok olduğundan maksimum seviyede stoklama yapılmakta ve sipariş verilirken de 6 aylık tüketim göz önünde bulundurulmaktadır. Bu uygulamanın nedeni de ekonomik anlamda firmanın avantaj sağlamasıdır.
Stoklanacak malzeme yönetimi 3 tip metodla incelenmelidir. Bu metodlar:
1. Sabit sipariş miktarı kontrol metodu
2. Periyodik sipariş metodu
3. Sabit parça seviye kontrol metodu
Yukarıda verilen metodlar aşağıda grafiklerle açıklanmıştır. (1)

* Bu makalenin devamı niteliğindeki “Yedek Parçalar Nasıl ve Nerede Stoklanmalı” başlıklı ikinci bölüm, dergimizin Mart sayısında yayımlanacaktır.





